The Ciholas warehouse is a great example of how ChainPoE can significantly reduce labor and installation costs. This facility has 24 AN302s installed across the ceiling for use as a test facility. A PoE switch located in the server rack supplies power to the AN203s.
In Figure 1 below, the coordinates for each Anchor position are shown. Anchors were surveyed using a Total Station, and the resulting distances are reported in meters. For practical installation planning, Ciholas shifted the survey origin to the location of the PoE switch in the server rack. This adjustment allows for accurate cable length calculations directly from the rack to each Anchor.
![]() |
|---|
| Figure 1: Top-down view of the warehouse showing Anchor positions (x,y) |
The PoE Switch in the server rack is approximately 1 meter above the floor, while the ceiling height is approximately 4.4 meters. This results in a vertical distance of 3.4 meters between the ceiling-mounted Anchors and the PoE switch.
In a Star topology, each Anchor’s Ethernet cable is run back to the PoE Switch in the server rack. Each cable must run vertically from the rack to the ceiling and then horizontally across the ceiling to each Anchor.
![]() |
|---|
| Figure 2: Top-down view illustrating individual Ethernet cable runs from the PoE switch to each Anchor |
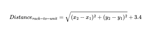
Cable length is determined by the distance formula:

x1 and y1 are (0,0) of the PoE Switch. Added to each distance is a height of 3.4 meters to account for the cable running from the ceiling to the PoE Switch.
The configuration uses a total of 397.7 meters of cable to connect every AN302 back to the PoE Switch. This total cable length does not include any extra cable for strain relief or service loops. A larger switch (24 ports minimum) is required as each AN302 needs its own port
In the ChainPoE topology, cables are run from one Anchor to the next in a daisy-chain configuration. As a result, each Anchor does not have to be directly connected to the server rack – only the first Anchor in each chain connects to the PoE switch.
![]() |
|---|
| Figure 3: Top-down View illustrating daisy-chained groups of Anchors connected in series |
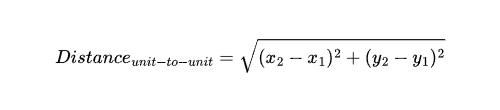
Cable length is determined by the distance formula between units:

The distances between Anchors in each chain are first summed, then 3.4 meters is added to account for the vertical run from the PoE switch to the ceiling. Finally, the totals for all chains are combined to calculate the overall cable length.
Using this ChainPoE configuration, only 75.5 meters of cable are required to connect every AN302 back to the PoE Switch. This figure does not include any extra cable for strain relief or service loops. Because only one switch port is required per chain—rather than one port per Anchor—ChainPoE™ also enables the use of a much smaller PoE switch (a minimum of two ports in this case), further reducing hardware costs and rack space requirements.
| Expense: | Star Topology: | ChainPoE: |
|---|---|---|
| Cable Cost1: | $389.75 | $73.99 |
| Labor2: | $2,608.96 | $495.30 |
| PoE Switch3: | $349.00 | $59.00 |
| Total: | $3,347.72 | $628.29 |
1. Bulk cable cost estimated at $0.30 per foot or $0.98 per meter.
2. Labor (Pulling cable, terminations, testing, etc.) cost estimated at $2.00 per foot of cable run or $6.58 per meter of cable run.
3. PoE Switch cost estimated at $15.00 per port.
Even if the same PoE Switch were used in both configurations, ChainPoE still demonstrates a 70% savings in cost of installation over a traditional star configuration. By allowing the use of a smaller, less expensive PoE Switch, the savings can easily exceed 80%.